ОТВЕТ на задание № 20 Учебник по Алгебре 8 класс Мерзляк Алгоритм успеха
Решебник №1
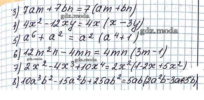
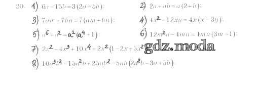
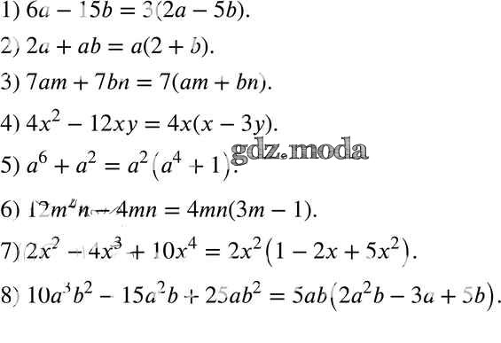
глава 1 / §1 / 20

Решебник №2
глава 1 / §1 / 20

Решебник №3
глава 1 / §1 / 20


Решебник №4
глава 1 / §1 / 20

Решебник №5
глава 1 / §1 / 20

Решебник №6
глава 1 / §1 / 20

Все ГДЗ по Алгебре 8 класс Алгоритм успеха