ОТВЕТ на задание № 21 Учебник по Алгебре 8 класс Мерзляк Алгоритм успеха
Решебник №1
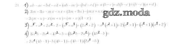
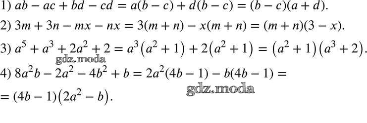
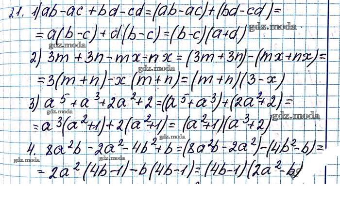
глава 1 / §1 / 21

Решебник №2
глава 1 / §1 / 21

Решебник №3
глава 1 / §1 / 21

Решебник №4
глава 1 / §1 / 21

Решебник №5
глава 1 / §1 / 21

Решебник №6
глава 1 / §1 / 21

Все ГДЗ по Алгебре 8 класс Алгоритм успеха