ОТВЕТ на задание № 22 Учебник по Алгебре 8 класс Мерзляк Алгоритм успеха
Решебник №1
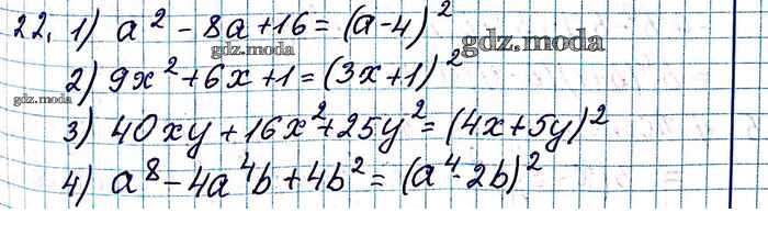
глава 1 / §1 / 22

Решебник №2
глава 1 / §1 / 22

Решебник №3
глава 1 / §1 / 22

Решебник №4
глава 1 / §1 / 22

Решебник №5
глава 1 / §1 / 22

Решебник №6
глава 1 / §1 / 22

Все ГДЗ по Алгебре 8 класс Алгоритм успеха