ОТВЕТ на задание № 23 Учебник по Алгебре 8 класс Мерзляк Алгоритм успеха
Решебник №1
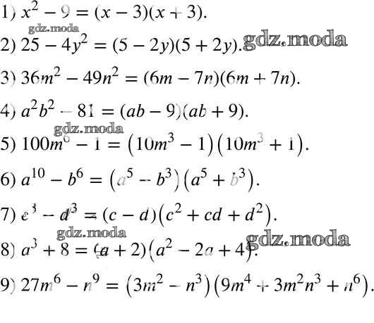
глава 1 / §1 / 23

Решебник №2
глава 1 / §1 / 23

Решебник №3
глава 1 / §1 / 23


Решебник №4
глава 1 / §1 / 23

Решебник №5
глава 1 / §1 / 23

Решебник №6
глава 1 / §1 / 23

Все ГДЗ по Алгебре 8 класс Алгоритм успеха