ОТВЕТ на задание № 24 Учебник по Алгебре 8 класс Мерзляк Алгоритм успеха
Решебник №1
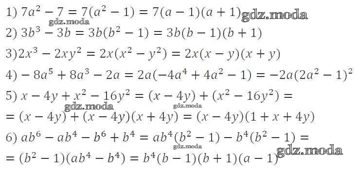
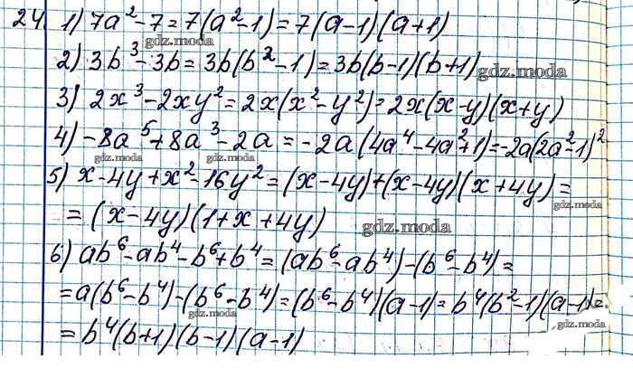
глава 1 / §1 / 24

Решебник №2
глава 1 / §1 / 24

Решебник №3
глава 1 / §1 / 24

Решебник №4
глава 1 / §1 / 24

Решебник №5
глава 1 / §1 / 24

Решебник №6
глава 1 / §1 / 24

Все ГДЗ по Алгебре 8 класс Алгоритм успеха