ОТВЕТ на задание № 40 Учебник по Алгебре 8 класс Мерзляк Алгоритм успеха
Решебник №1
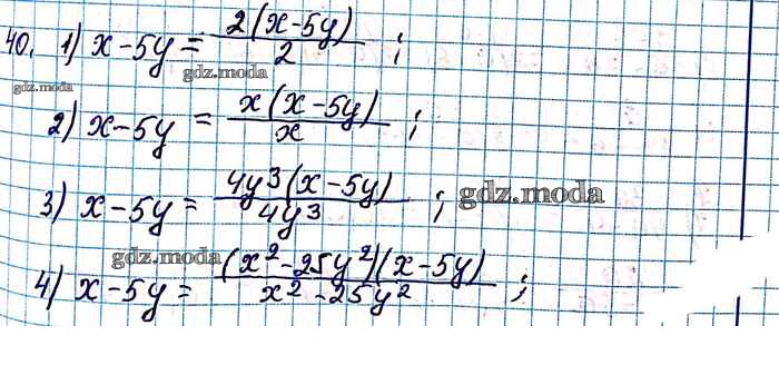
глава 1 / §2 / 40

Решебник №2
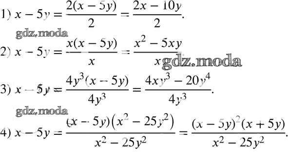
глава 1 / §2 / 40

Решебник №3
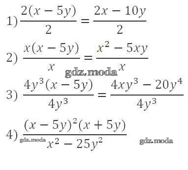
глава 1 / §2 / 40

Решебник №4
глава 1 / §2 / 40

Решебник №5
глава 1 / §2 / 40

Решебник №6
глава 1 / §2 / 40

Все ГДЗ по Алгебре 8 класс Алгоритм успеха