ОТВЕТ на задание № 41 Учебник по Алгебре 8 класс Мерзляк Алгоритм успеха
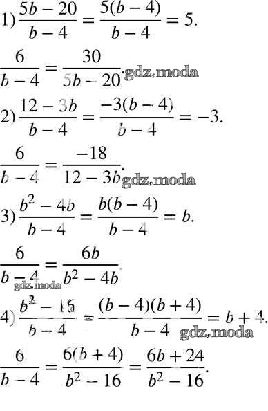
Решебник №1
глава 1 / §2 / 41

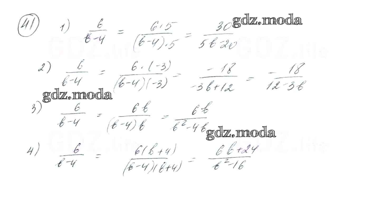
Решебник №2
глава 1 / §2 / 41

Решебник №3
глава 1 / §2 / 41


Решебник №4
глава 1 / §2 / 41

Решебник №5
глава 1 / §2 / 41

Решебник №6
глава 1 / §2 / 41

Все ГДЗ по Алгебре 8 класс Алгоритм успеха