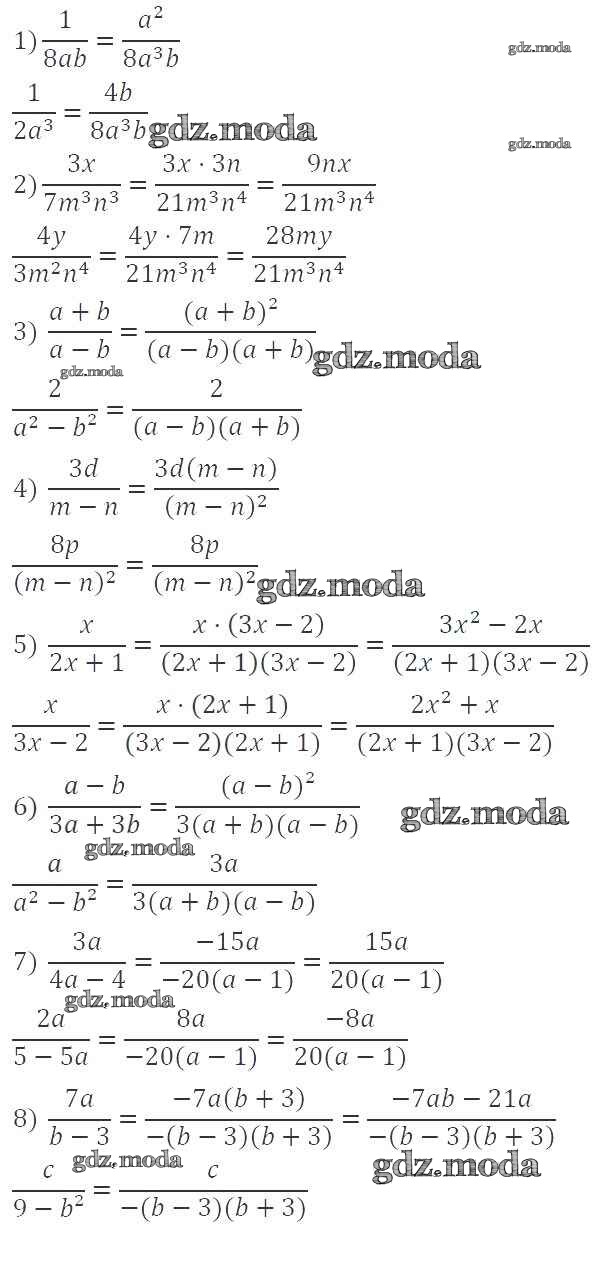
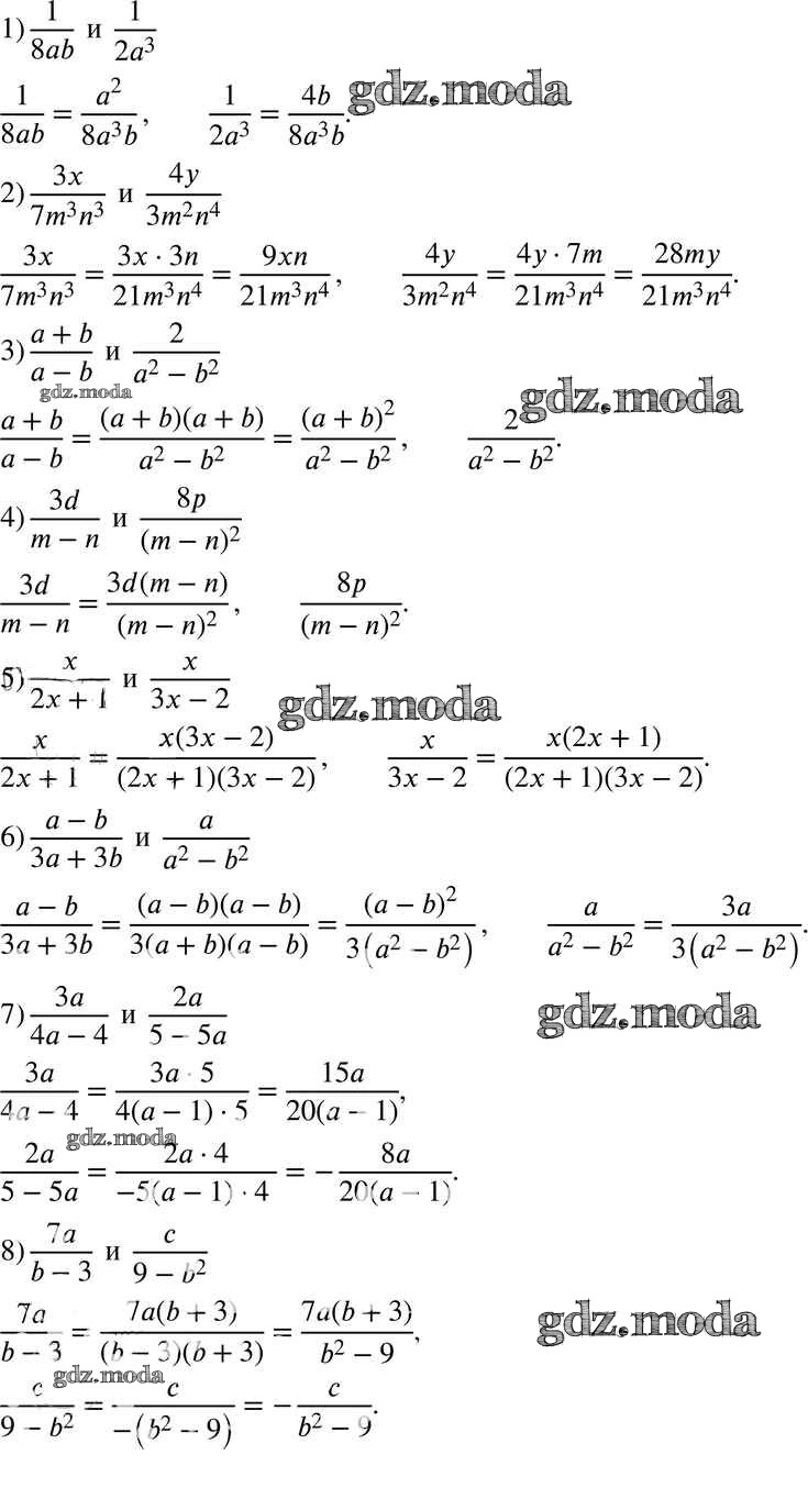
ОТВЕТ на задание № 42 Учебник по Алгебре 8 класс Мерзляк Алгоритм успеха
Решебник №1
глава 1 / §2 / 42

Решебник №2
глава 1 / §2 / 42

Решебник №3
глава 1 / §2 / 42

Решебник №4
глава 1 / §2 / 42

Решебник №5
глава 1 / §2 / 42

Решебник №6
глава 1 / §2 / 42


Все ГДЗ по Алгебре 8 класс Алгоритм успеха