ОТВЕТ на задание № 59 Учебник по Алгебре 8 класс Мерзляк Алгоритм успеха
Решебник №1
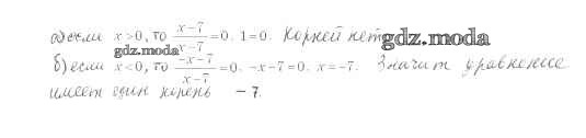
глава 1 / §2 / 59

Решебник №2
глава 1 / §2 / 59

Решебник №3
глава 1 / §2 / 59


Решебник №4
глава 1 / §2 / 59

Решебник №5
глава 1 / §2 / 59


Решебник №6
глава 1 / §2 / 59

Все ГДЗ по Алгебре 8 класс Алгоритм успеха