ОТВЕТ на задание № 60 Учебник по Алгебре 8 класс Мерзляк Алгоритм успеха
Решебник №1
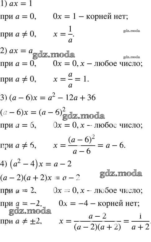
глава 1 / §2 / 60

Решебник №2
глава 1 / §2 / 60

Решебник №3
глава 1 / §2 / 60


Решебник №4
глава 1 / §2 / 60

Решебник №5
глава 1 / §2 / 60

Решебник №6
глава 1 / §2 / 60

Все ГДЗ по Алгебре 8 класс Алгоритм успеха