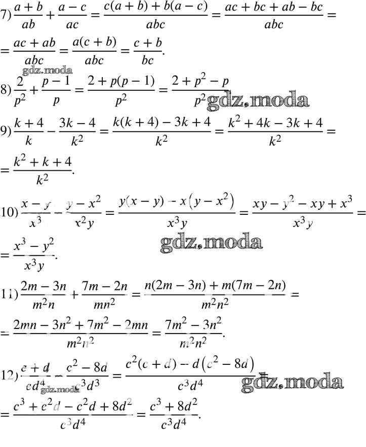
ОТВЕТ на задание № 100 Учебник по Алгебре 8 класс Мерзляк Алгоритм успеха
Решебник №1
глава 1 / §4 / 100

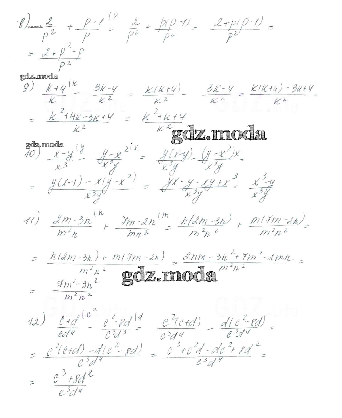
Решебник №2
глава 1 / §4 / 100


Решебник №3
глава 1 / §4 / 100


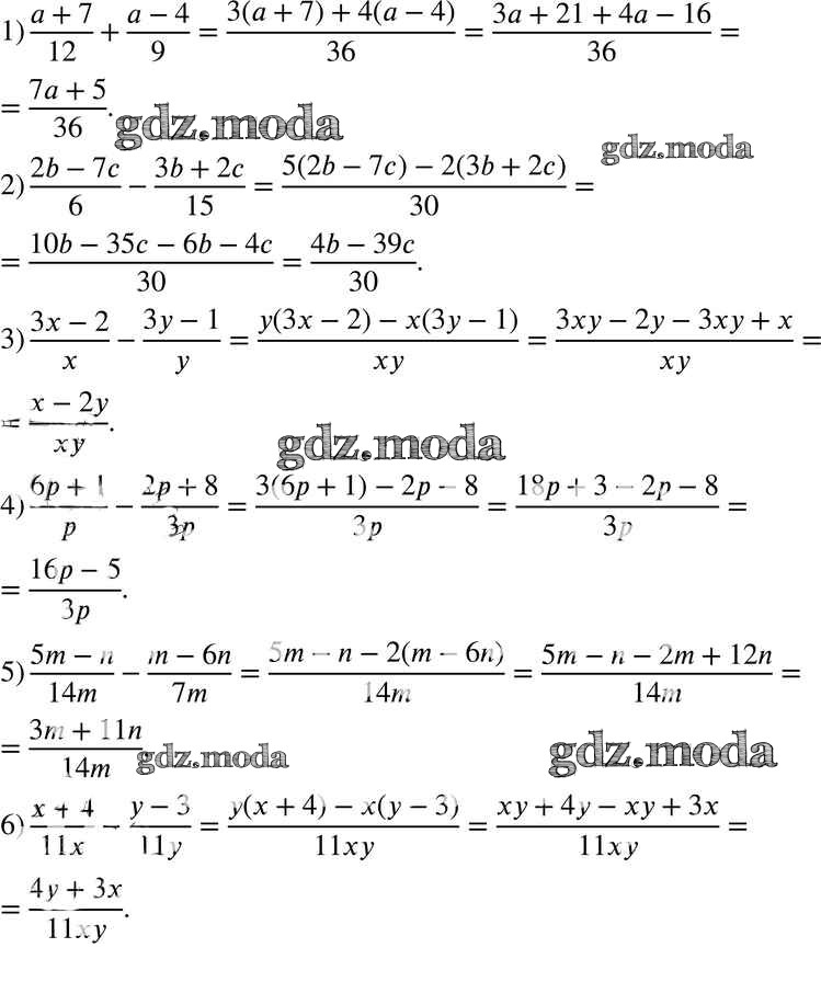
Решебник №4
глава 1 / §4 / 100

Решебник №5
глава 1 / §4 / 100


Решебник №6
глава 1 / §4 / 100


Все ГДЗ по Алгебре 8 класс Алгоритм успеха