ОТВЕТ на задание № 99 Учебник по Алгебре 8 класс Мерзляк Алгоритм успеха
Решебник №1
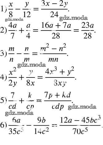
глава 1 / §4 / 99

Решебник №2
глава 1 / §4 / 99

Решебник №3
глава 1 / §4 / 99


Решебник №4
глава 1 / §4 / 99

Решебник №5
глава 1 / §4 / 99

Решебник №6
глава 1 / §4 / 99

Все ГДЗ по Алгебре 8 класс Алгоритм успеха