ОТВЕТ на задание № 117 Учебник по Алгебре 8 класс Мерзляк Алгоритм успеха
Решебник №1
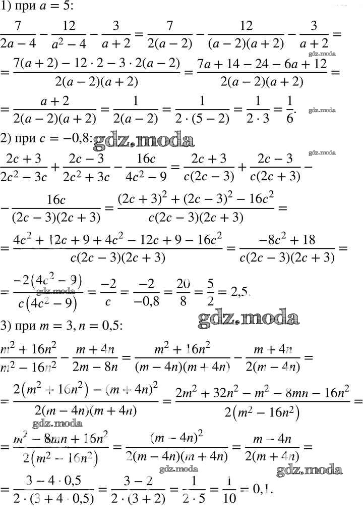
глава 1 / §4 / 117

Решебник №2
глава 1 / §4 / 117

Решебник №3
глава 1 / §4 / 117


Решебник №4
глава 1 / §4 / 117

Решебник №5
глава 1 / §4 / 117


Решебник №6
глава 1 / §4 / 117


Все ГДЗ по Алгебре 8 класс Алгоритм успеха