ОТВЕТ на задание № 118 Учебник по Алгебре 8 класс Мерзляк Алгоритм успеха
Решебник №1
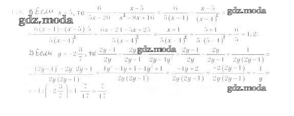
глава 1 / §4 / 118

Решебник №2
глава 1 / §4 / 118

Решебник №3
глава 1 / §4 / 118

Решебник №4
глава 1 / §4 / 118

Решебник №5
глава 1 / §4 / 118

Решебник №6
глава 1 / §4 / 118

Все ГДЗ по Алгебре 8 класс Алгоритм успеха