ОТВЕТ на задание № 120 Учебник по Алгебре 8 класс Мерзляк Алгоритм успеха
Решебник №1
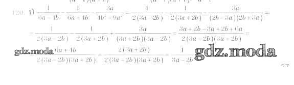
глава 1 / §4 / 120

Решебник №2
глава 1 / §4 / 120

Решебник №3
глава 1 / §4 / 120

Решебник №4
глава 1 / §4 / 120

Решебник №5
глава 1 / §4 / 120


Решебник №6
глава 1 / §4 / 120

Все ГДЗ по Алгебре 8 класс Алгоритм успеха