ОТВЕТ на задание № 121 Учебник по Алгебре 8 класс Мерзляк Алгоритм успеха
Решебник №1
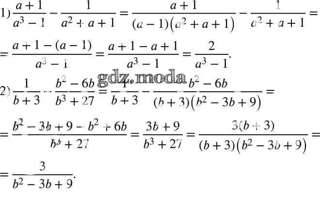
глава 1 / §4 / 121

Решебник №2
глава 1 / §4 / 121

Решебник №3
глава 1 / §4 / 121


Решебник №4
глава 1 / §4 / 121

Решебник №5
глава 1 / §4 / 121

Решебник №6
глава 1 / §4 / 121

Все ГДЗ по Алгебре 8 класс Алгоритм успеха