ОТВЕТ на задание № 123 Учебник по Алгебре 8 класс Мерзляк Алгоритм успеха
Решебник №1
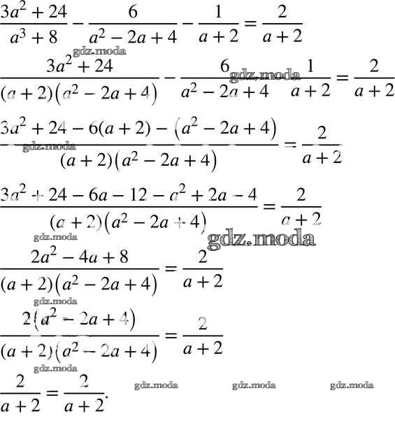
глава 1 / §4 / 123

Решебник №2
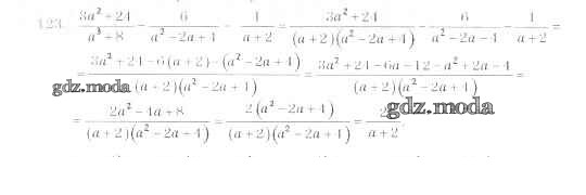
глава 1 / §4 / 123

Решебник №3
глава 1 / §4 / 123

Решебник №4
глава 1 / §4 / 123

Решебник №5
глава 1 / §4 / 123

Решебник №6
глава 1 / §4 / 123

Все ГДЗ по Алгебре 8 класс Алгоритм успеха