ОТВЕТ на задание № 124 Учебник по Алгебре 8 класс Мерзляк Алгоритм успеха
Решебник №1
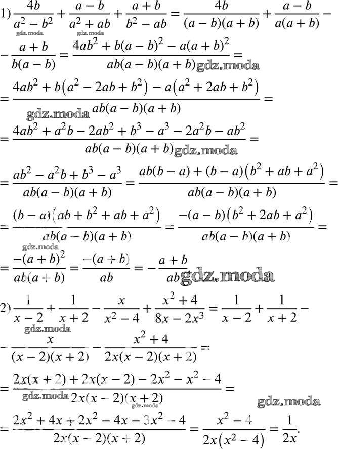
глава 1 / §4 / 124

Решебник №2
глава 1 / §4 / 124


Решебник №3
глава 1 / §4 / 124


Решебник №4
глава 1 / §4 / 124

Решебник №5
глава 1 / §4 / 124


Решебник №6
глава 1 / §4 / 124


Все ГДЗ по Алгебре 8 класс Алгоритм успеха