ОТВЕТ на задание № 145 Учебник по Алгебре 8 класс Мерзляк Алгоритм успеха
Решебник №1
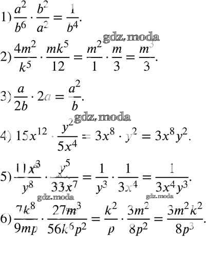
глава 1 / §5 / 145

Решебник №2
глава 1 / §5 / 145

Решебник №3
глава 1 / §5 / 145


Решебник №4
глава 1 / §5 / 145

Решебник №5
глава 1 / §5 / 145

Решебник №6
глава 1 / §5 / 145

Все ГДЗ по Алгебре 8 класс Алгоритм успеха