ОТВЕТ на задание № 146 Учебник по Алгебре 8 класс Мерзляк Алгоритм успеха
Решебник №1
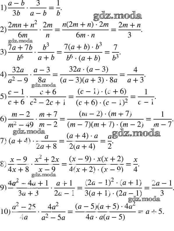
глава 1 / §5 / 146

Решебник №2
глава 1 / §5 / 146

Решебник №3
глава 1 / §5 / 146


Решебник №4
глава 1 / §5 / 146

Решебник №5
глава 1 / §5 / 146

Решебник №6
глава 1 / §5 / 146


Все ГДЗ по Алгебре 8 класс Алгоритм успеха