ОТВЕТ на задание № 154 Учебник по Алгебре 8 класс Мерзляк Алгоритм успеха
Решебник №1
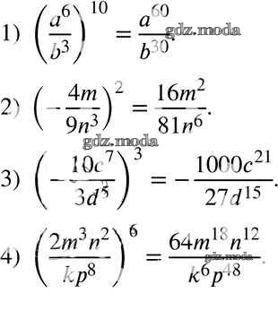
глава 1 / §5 / 154

Решебник №2
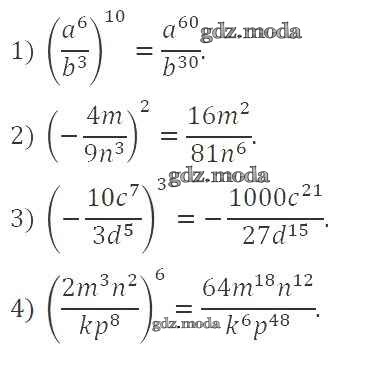
глава 1 / §5 / 154

Решебник №3
глава 1 / §5 / 154


Решебник №4
глава 1 / §5 / 154

Решебник №5
глава 1 / §5 / 154

Решебник №6
глава 1 / §5 / 154

Все ГДЗ по Алгебре 8 класс Алгоритм успеха