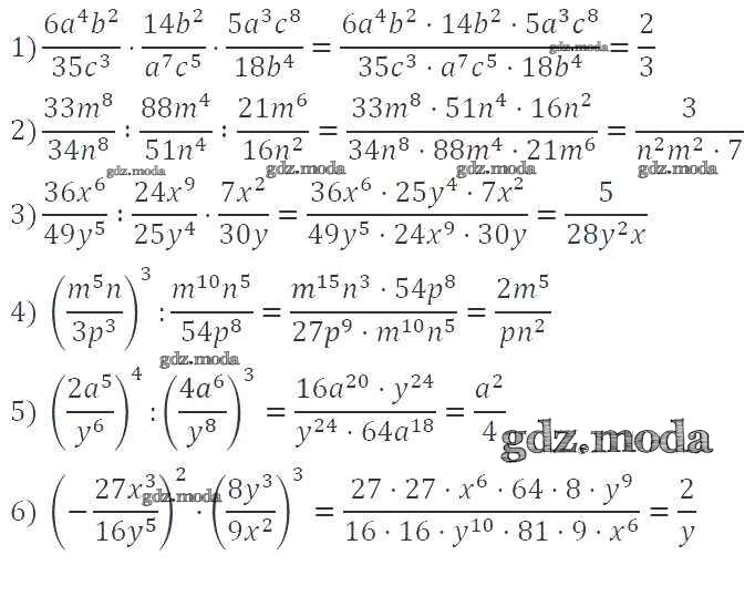
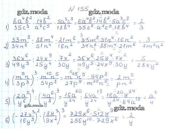
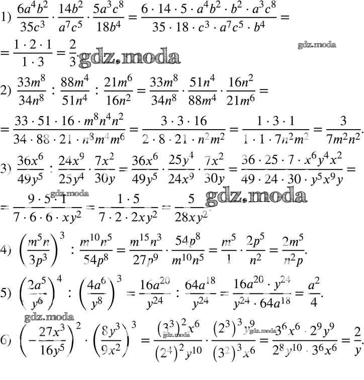
ОТВЕТ на задание № 155 Учебник по Алгебре 8 класс Мерзляк Алгоритм успеха
Решебник №1
глава 1 / §5 / 155

Решебник №2
глава 1 / §5 / 155

Решебник №3
глава 1 / §5 / 155

Решебник №4
глава 1 / §5 / 155

Решебник №5
глава 1 / §5 / 155


Решебник №6
глава 1 / §5 / 155


Все ГДЗ по Алгебре 8 класс Алгоритм успеха