ОТВЕТ на задание № 156 Учебник по Алгебре 8 класс Мерзляк Алгоритм успеха
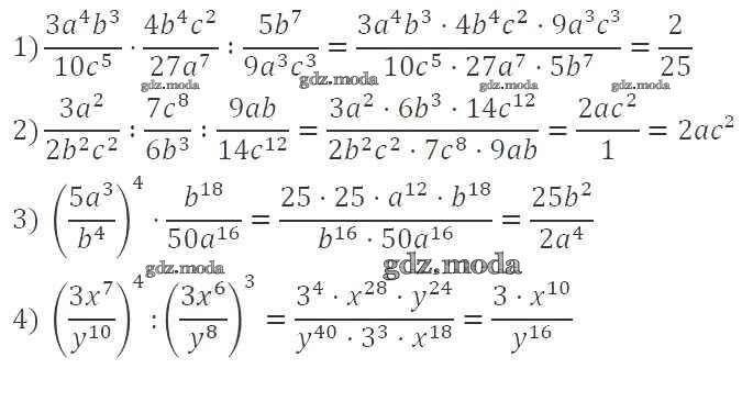
Решебник №1
глава 1 / §5 / 156

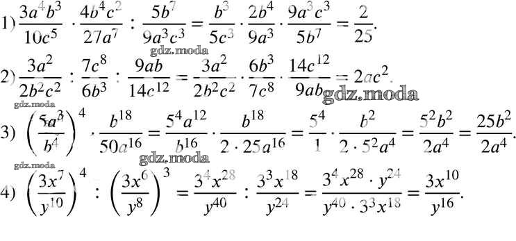
Решебник №2
глава 1 / §5 / 156

Решебник №3
глава 1 / §5 / 156

Решебник №4
глава 1 / §5 / 156

Решебник №5
глава 1 / §5 / 156

Решебник №6
глава 1 / §5 / 156


Все ГДЗ по Алгебре 8 класс Алгоритм успеха