ОТВЕТ на задание № 157 Учебник по Алгебре 8 класс Мерзляк Алгоритм успеха
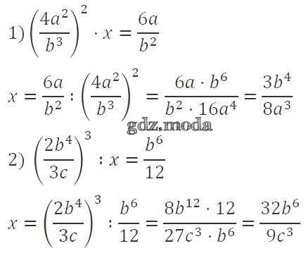
Решебник №1
глава 1 / §5 / 157

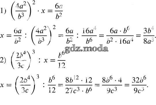
Решебник №2
глава 1 / §5 / 157

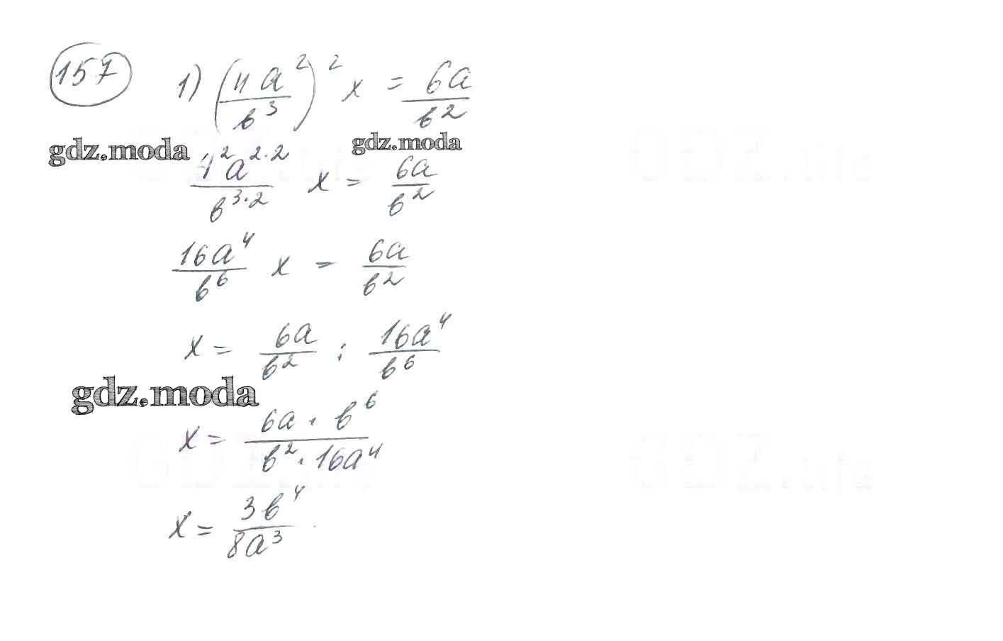
Решебник №3
глава 1 / §5 / 157

Решебник №4
глава 1 / §5 / 157

Решебник №5
глава 1 / §5 / 157

Решебник №6
глава 1 / §5 / 157


Все ГДЗ по Алгебре 8 класс Алгоритм успеха