ОТВЕТ на задание № 158 Учебник по Алгебре 8 класс Мерзляк Алгоритм успеха
Решебник №1
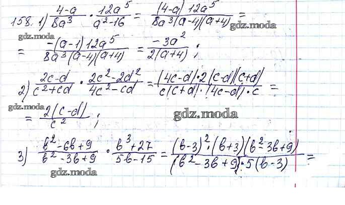
глава 1 / §5 / 158

Решебник №2
глава 1 / §5 / 158

Решебник №3
глава 1 / §5 / 158



Решебник №4
глава 1 / §5 / 158

Решебник №5
глава 1 / §5 / 158

Решебник №6
глава 1 / §5 / 158


Все ГДЗ по Алгебре 8 класс Алгоритм успеха