ОТВЕТ на задание № 166 Учебник по Алгебре 8 класс Мерзляк Алгоритм успеха
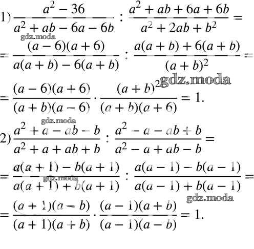
Решебник №1
глава 1 / §5 / 166

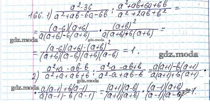
Решебник №2
глава 1 / §5 / 166

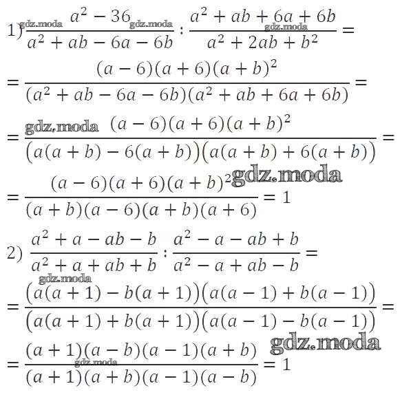
Решебник №3
глава 1 / §5 / 166

Решебник №4
глава 1 / §5 / 166

Решебник №5
глава 1 / §5 / 166

Решебник №6
глава 1 / §5 / 166

Все ГДЗ по Алгебре 8 класс Алгоритм успеха