ОТВЕТ на задание № 167 Учебник по Алгебре 8 класс Мерзляк Алгоритм успеха
Решебник №1
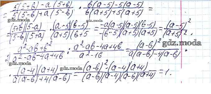
глава 1 / §5 / 167

Решебник №2
глава 1 / §5 / 167

Решебник №3
глава 1 / §5 / 167


Решебник №4
глава 1 / §5 / 167

Решебник №5
глава 1 / §5 / 167


Решебник №6
глава 1 / §5 / 167

Все ГДЗ по Алгебре 8 класс Алгоритм успеха