ОТВЕТ на задание № 168 Учебник по Алгебре 8 класс Мерзляк Алгоритм успеха
Решебник №1
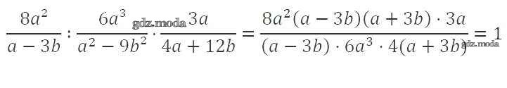
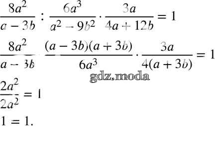
глава 1 / §5 / 168

Решебник №2
глава 1 / §5 / 168

Решебник №3
глава 1 / §5 / 168

Решебник №4
глава 1 / §5 / 168

Решебник №5
глава 1 / §5 / 168

Решебник №6
глава 1 / §5 / 168

Все ГДЗ по Алгебре 8 класс Алгоритм успеха