ОТВЕТ на задание № 176 Учебник по Алгебре 8 класс Мерзляк Алгоритм успеха
Решебник №1
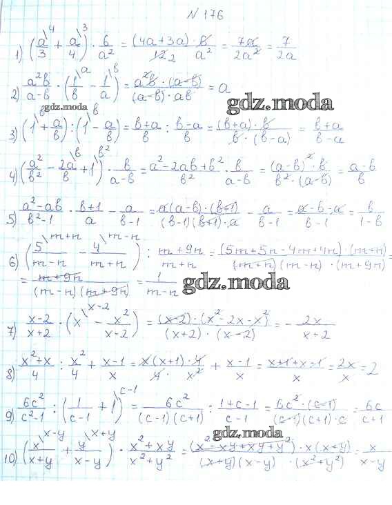
глава 1 / §6 / 176

Решебник №2
глава 1 / §6 / 176

Решебник №3
глава 1 / §6 / 176


Решебник №4
глава 1 / §6 / 176

Решебник №5
глава 1 / §6 / 176

Решебник №6
глава 1 / §6 / 176


Все ГДЗ по Алгебре 8 класс Алгоритм успеха