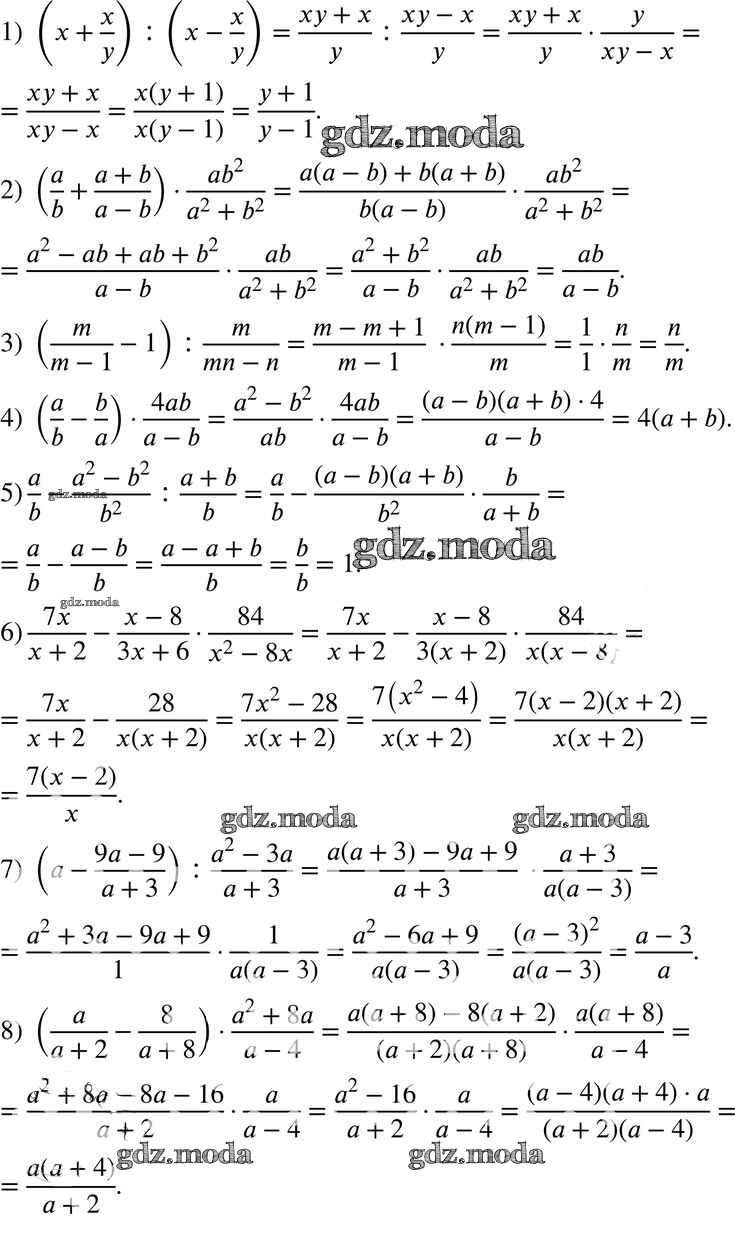
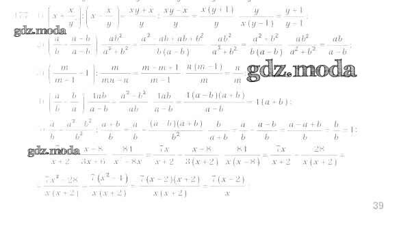
ОТВЕТ на задание № 177 Учебник по Алгебре 8 класс Мерзляк Алгоритм успеха
Решебник №1
глава 1 / §6 / 177

Решебник №2
глава 1 / §6 / 177

Решебник №3
глава 1 / §6 / 177


Решебник №4
глава 1 / §6 / 177

Решебник №5
глава 1 / §6 / 177


Решебник №6
глава 1 / §6 / 177


Все ГДЗ по Алгебре 8 класс Алгоритм успеха