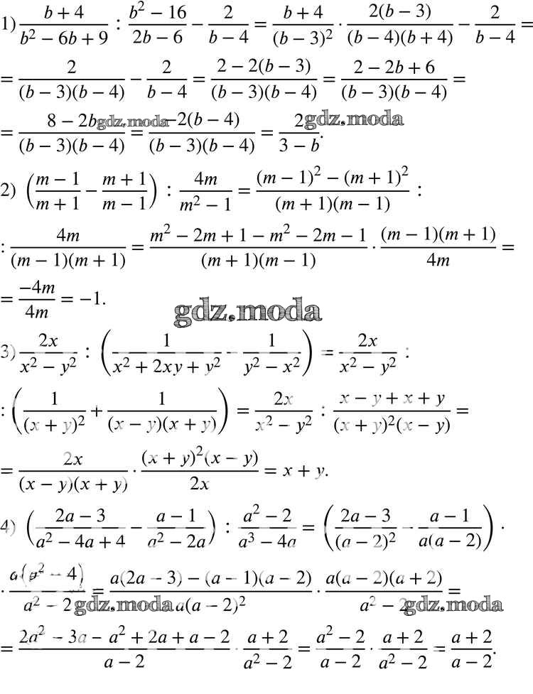
ОТВЕТ на задание № 179 Учебник по Алгебре 8 класс Мерзляк Алгоритм успеха

Решебник №1

глава 1 / §6 / 179

Решебник №2

глава 1 / §6 / 179

Решебник №3

глава 1 / §6 / 179

Решебник №4

глава 1 / §6 / 179

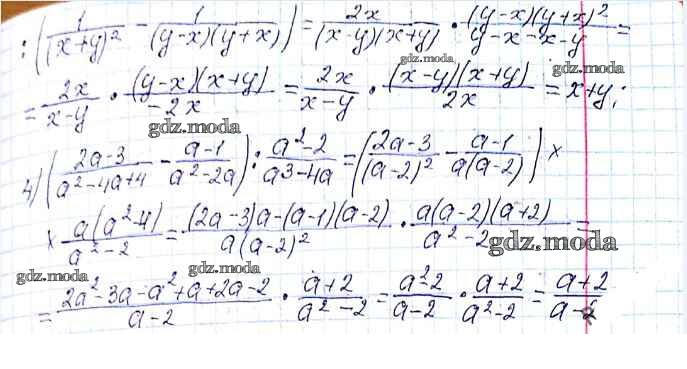
Решебник №5

глава 1 / §6 / 179

Решебник №6

глава 1 / §6 / 179

Решебник №7

глава 1 / §6 / 179

Все ГДЗ по Алгебре 8 класс Алгоритм успеха

ГДЗ решение к заданию № 179 Алгебра 8 класс Мерзляк А.Г. Вентана-граф 2016 ФГОС бесплатно на гдз.мода!