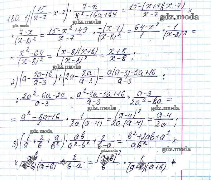
ОТВЕТ на задание № 180 Учебник по Алгебре 8 класс Мерзляк Алгоритм успеха
Решебник №1
глава 1 / §6 / 180

Решебник №2
глава 1 / §6 / 180


Решебник №3
глава 1 / §6 / 180



Решебник №4
глава 1 / §6 / 180

Решебник №5
глава 1 / §6 / 180


Решебник №6
глава 1 / §6 / 180


Все ГДЗ по Алгебре 8 класс Алгоритм успеха