ОТВЕТ на задание № 181 Учебник по Алгебре 8 класс Мерзляк Алгоритм успеха
Решебник №1
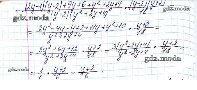
глава 1 / §6 / 181

Решебник №2
глава 1 / §6 / 181

Решебник №3
глава 1 / §6 / 181


Решебник №4
глава 1 / §6 / 181

Решебник №5
глава 1 / §6 / 181

Решебник №6
глава 1 / §6 / 181



Все ГДЗ по Алгебре 8 класс Алгоритм успеха