ОТВЕТ на задание № 188 Учебник по Алгебре 8 класс Мерзляк Алгоритм успеха
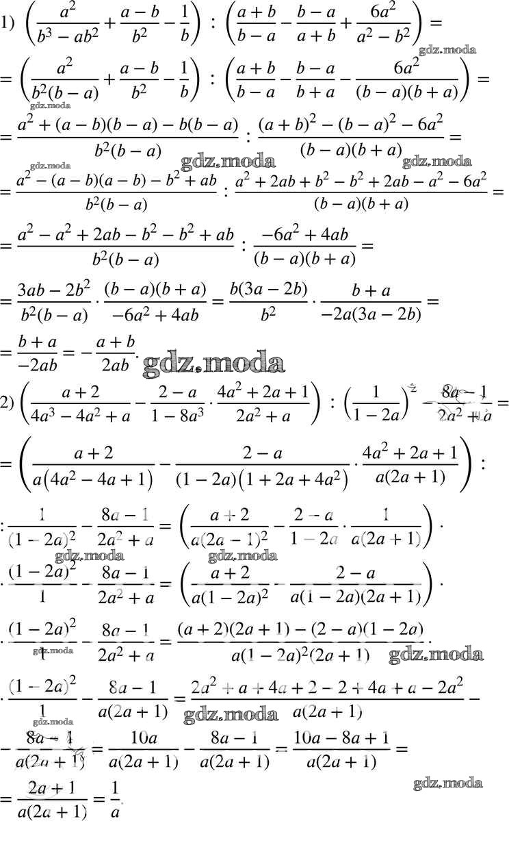
Решебник №1
глава 1 / §6 / 188

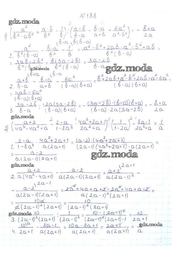
Решебник №2
глава 1 / §6 / 188

Решебник №3
глава 1 / §6 / 188

Решебник №4
глава 1 / §6 / 188

Решебник №5
глава 1 / §6 / 188


Решебник №6
глава 1 / §6 / 188


Все ГДЗ по Алгебре 8 класс Алгоритм успеха