ОТВЕТ на задание № 189 Учебник по Алгебре 8 класс Мерзляк Алгоритм успеха
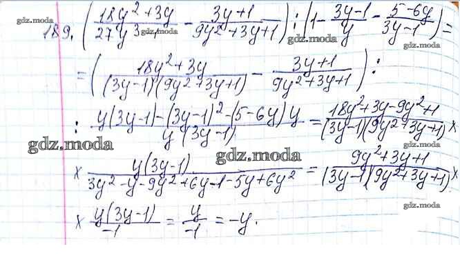
Решебник №1
глава 1 / §6 / 189

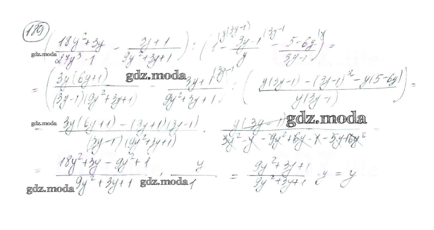
Решебник №2
глава 1 / §6 / 189

Решебник №3
глава 1 / §6 / 189

Решебник №4
глава 1 / §6 / 189

Решебник №5
глава 1 / §6 / 189

Решебник №6
глава 1 / §6 / 189

Все ГДЗ по Алгебре 8 класс Алгоритм успеха