ОТВЕТ на задание № 191 Учебник по Алгебре 8 класс Мерзляк Алгоритм успеха
Решебник №1
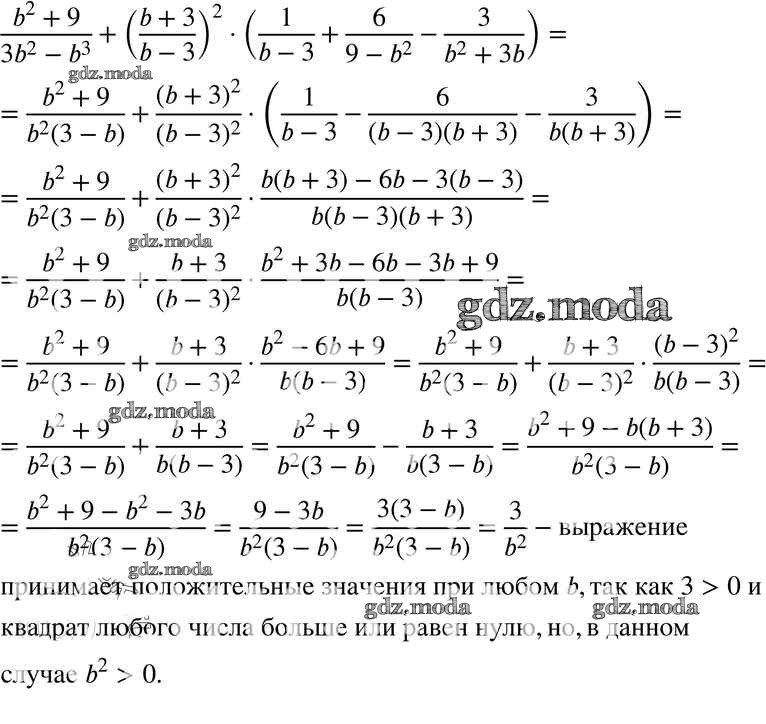
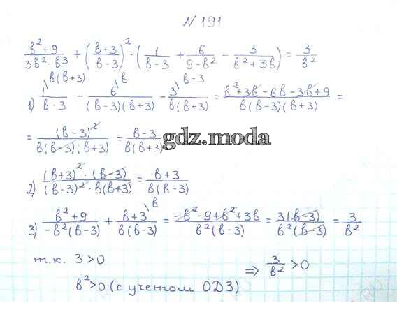
глава 1 / §6 / 191

Решебник №2
глава 1 / §6 / 191

Решебник №3
глава 1 / §6 / 191

Решебник №4
глава 1 / §6 / 191

Решебник №5
глава 1 / §6 / 191


Решебник №6
глава 1 / §6 / 191

Все ГДЗ по Алгебре 8 класс Алгоритм успеха