ОТВЕТ на задание № 192 Учебник по Алгебре 8 класс Мерзляк Алгоритм успеха
Решебник №1
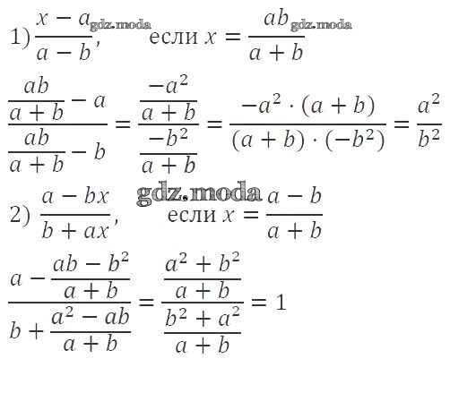
глава 1 / §6 / 192

Решебник №2
глава 1 / §6 / 192

Решебник №3
глава 1 / §6 / 192


Решебник №4
глава 1 / §6 / 192

Решебник №5
глава 1 / §6 / 192

Решебник №6
глава 1 / §6 / 192

Все ГДЗ по Алгебре 8 класс Алгоритм успеха