ОТВЕТ на задание № 212 Учебник по Алгебре 8 класс Мерзляк Алгоритм успеха
Решебник №1
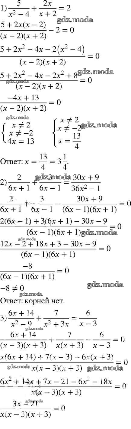
глава 1 / §7 / 212

Решебник №2
глава 1 / §7 / 212




Решебник №3
глава 1 / §7 / 212



Решебник №4
глава 1 / §7 / 212

Решебник №5
глава 1 / §7 / 212



Решебник №6
глава 1 / §7 / 212




Все ГДЗ по Алгебре 8 класс Алгоритм успеха