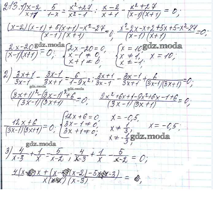
ОТВЕТ на задание № 213 Учебник по Алгебре 8 класс Мерзляк Алгоритм успеха
Решебник №1
глава 1 / §7 / 213

Решебник №2
глава 1 / §7 / 213



Решебник №3
глава 1 / §7 / 213



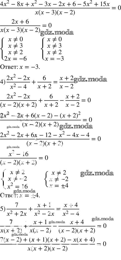
Решебник №4
глава 1 / §7 / 213


Решебник №5
глава 1 / §7 / 213


Решебник №6
глава 1 / §7 / 213


Все ГДЗ по Алгебре 8 класс Алгоритм успеха