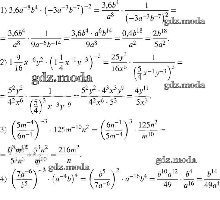
ОТВЕТ на задание № 283 Учебник по Алгебре 8 класс Мерзляк Алгоритм успеха
Решебник №1
глава 1 / §9 / 283

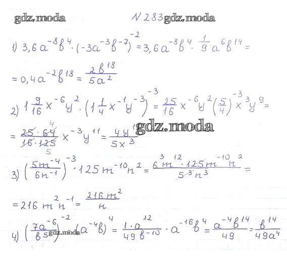
Решебник №2
глава 1 / §9 / 283

Решебник №3
глава 1 / §9 / 283

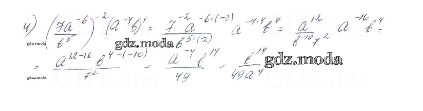
Решебник №4
глава 1 / §9 / 283

Решебник №5
глава 1 / §9 / 283

Решебник №6
глава 1 / §9 / 283


Все ГДЗ по Алгебре 8 класс Алгоритм успеха