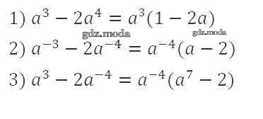
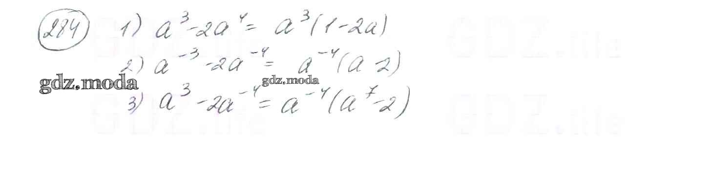
ОТВЕТ на задание № 284 Учебник по Алгебре 8 класс Мерзляк Алгоритм успеха
Решебник №1
глава 1 / §9 / 284

Решебник №2
глава 1 / §9 / 284

Решебник №3
глава 1 / §9 / 284

Решебник №4
глава 1 / §9 / 284

Решебник №5
глава 1 / §9 / 284

Решебник №6
глава 1 / §9 / 284

Все ГДЗ по Алгебре 8 класс Алгоритм успеха