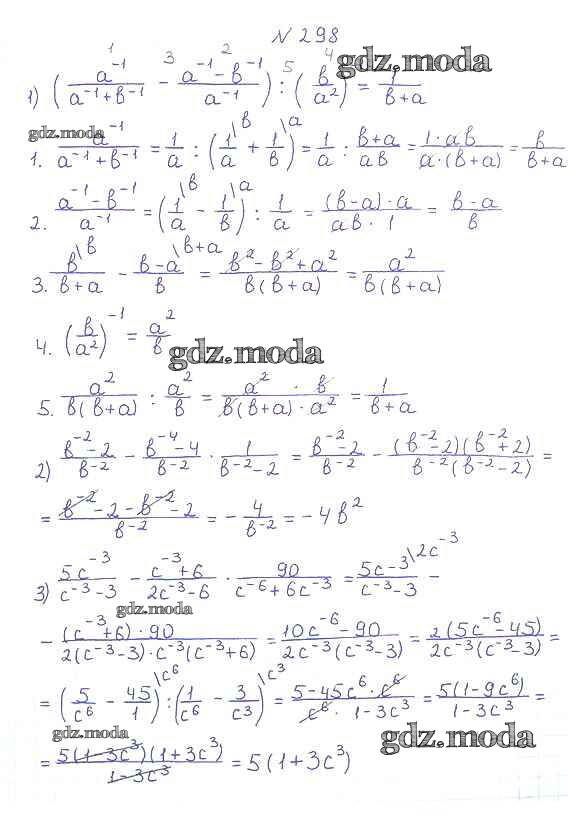
ОТВЕТ на задание № 298 Учебник по Алгебре 8 класс Мерзляк Алгоритм успеха
Решебник №1
глава 1 / §9 / 298

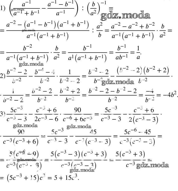
Решебник №2
глава 1 / §9 / 298


Решебник №3
глава 1 / §9 / 298


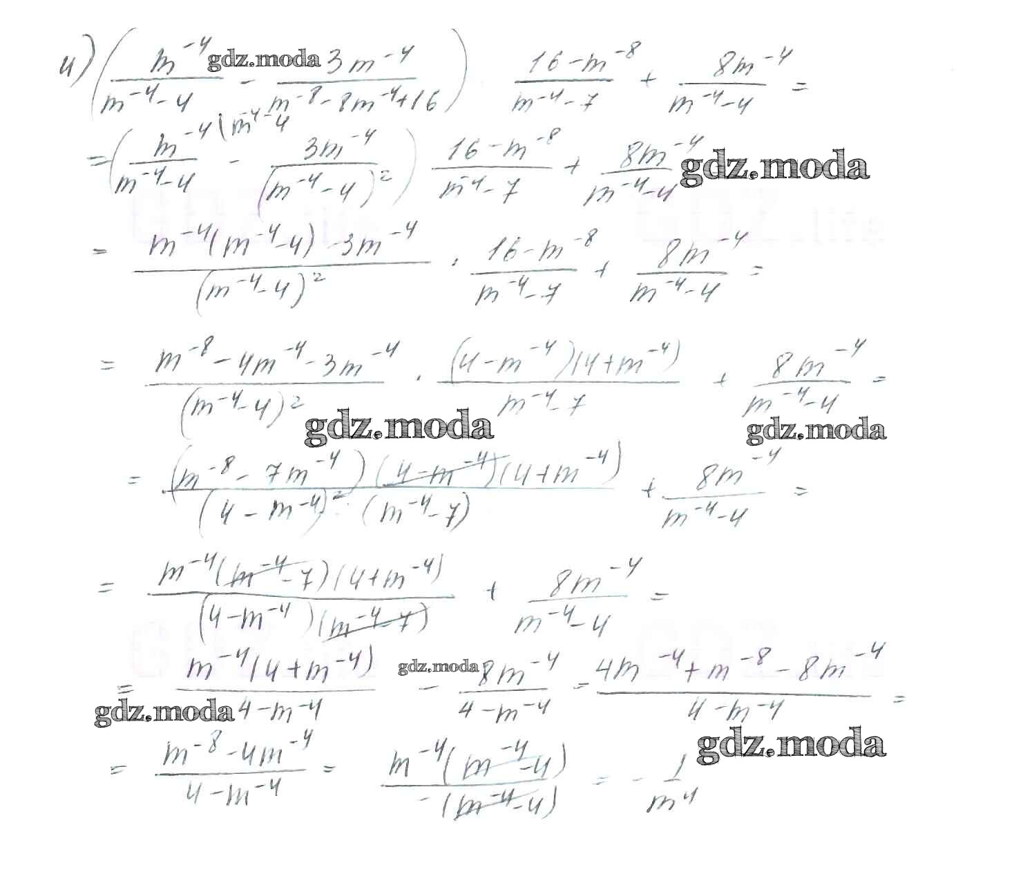
Решебник №4
глава 1 / §9 / 298


Решебник №5
глава 1 / §9 / 298


Решебник №6
глава 1 / §9 / 298


Все ГДЗ по Алгебре 8 класс Алгоритм успеха