ОТВЕТ на задание № 299 Учебник по Алгебре 8 класс Мерзляк Алгоритм успеха
Решебник №1
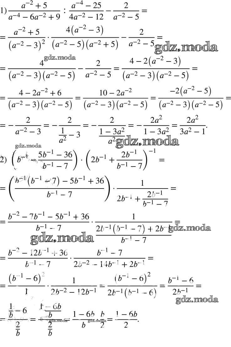
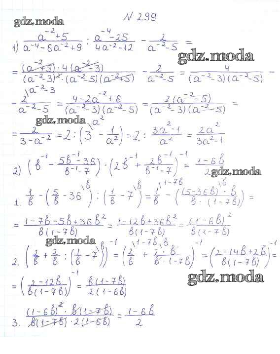
глава 1 / §9 / 299

Решебник №2
глава 1 / §9 / 299

Решебник №3
глава 1 / §9 / 299

Решебник №4
глава 1 / §9 / 299

Решебник №5
глава 1 / §9 / 299

Решебник №6
глава 1 / §9 / 299


Все ГДЗ по Алгебре 8 класс Алгоритм успеха