ОТВЕТ на задание № 547 Учебник по Алгебре 8 класс Мерзляк Алгоритм успеха
Решебник №1
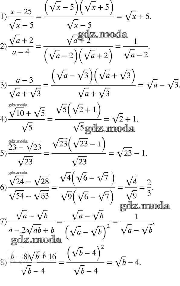
глава 2 / §17 / 547

Решебник №2
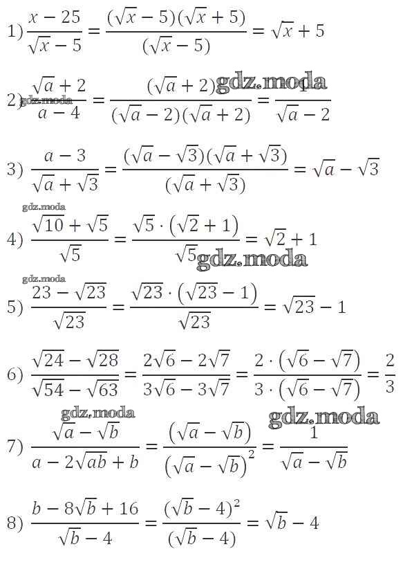
глава 2 / §17 / 547

Решебник №4
глава 2 / §17 / 547

Решебник №5
глава 2 / §17 / 547

Решебник №6
глава 2 / §17 / 547

Все ГДЗ по Алгебре 8 класс Алгоритм успеха