ОТВЕТ на задание № 548 Учебник по Алгебре 8 класс Мерзляк Алгоритм успеха
Решебник №1
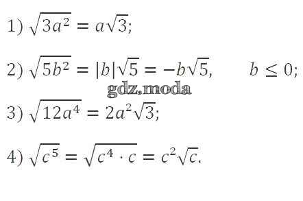
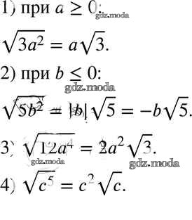
глава 2 / §17 / 548

Решебник №2
глава 2 / §17 / 548

Решебник №4
глава 2 / §17 / 548

Решебник №5
глава 2 / §17 / 548

Решебник №6
глава 2 / §17 / 548

Все ГДЗ по Алгебре 8 класс Алгоритм успеха