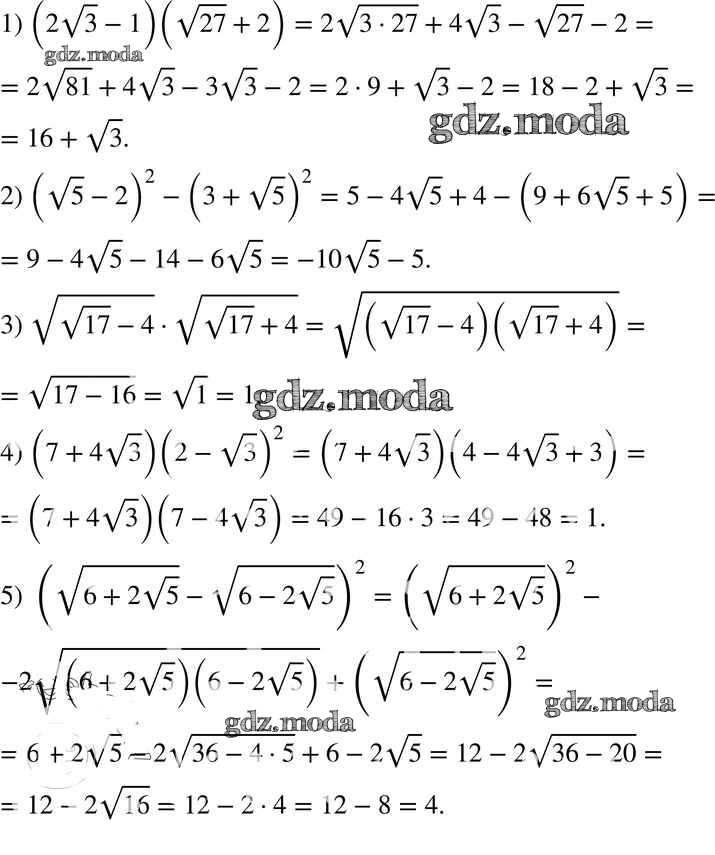
ОТВЕТ на задание № 553 Учебник по Алгебре 8 класс Мерзляк Алгоритм успеха
Решебник №1
глава 2 / §17 / 553

Решебник №2
глава 2 / §17 / 553

Решебник №4
глава 2 / §17 / 553

Решебник №5
глава 2 / §17 / 553

Решебник №6
глава 2 / §17 / 553

Все ГДЗ по Алгебре 8 класс Алгоритм успеха