ОТВЕТ на задание № 554 Учебник по Алгебре 8 класс Мерзляк Алгоритм успеха
Решебник №1
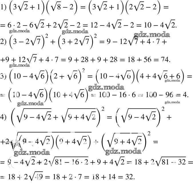
глава 2 / §17 / 554

Решебник №2
глава 2 / §17 / 554

Решебник №4
глава 2 / §17 / 554

Решебник №5
глава 2 / §17 / 554

Решебник №6
глава 2 / §17 / 554

Все ГДЗ по Алгебре 8 класс Алгоритм успеха