ОТВЕТ на задание № 555 Учебник по Алгебре 8 класс Мерзляк Алгоритм успеха
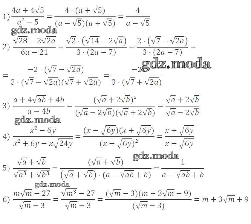
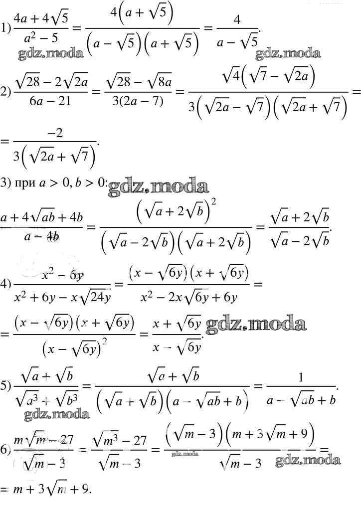
Решебник №1
глава 2 / §17 / 555

Решебник №2
глава 2 / §17 / 555

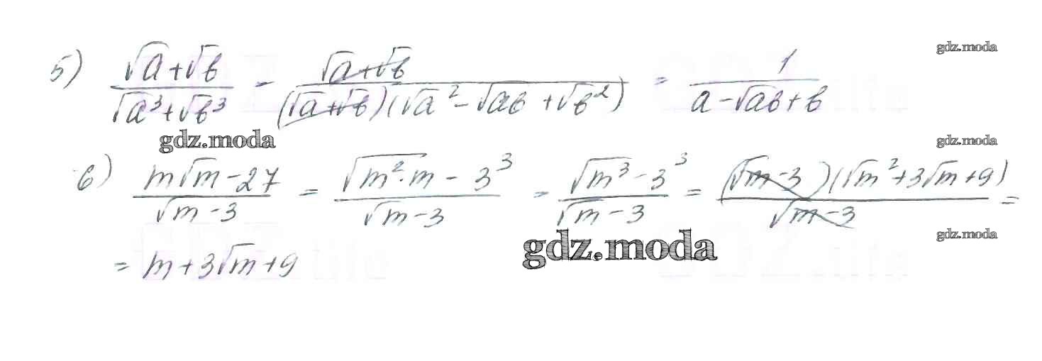
Решебник №4
глава 2 / §17 / 555

Решебник №5
глава 2 / §17 / 555

Решебник №6
глава 2 / §17 / 555


Все ГДЗ по Алгебре 8 класс Алгоритм успеха