ОТВЕТ на задание № 573 Учебник по Алгебре 8 класс Мерзляк Алгоритм успеха
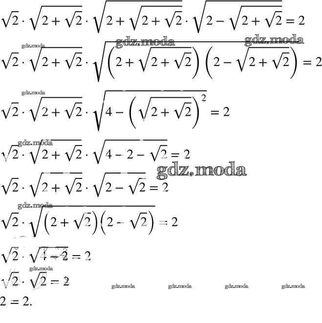
Решебник №1
глава 2 / §17 / 573

Решебник №2
глава 2 / §17 / 573

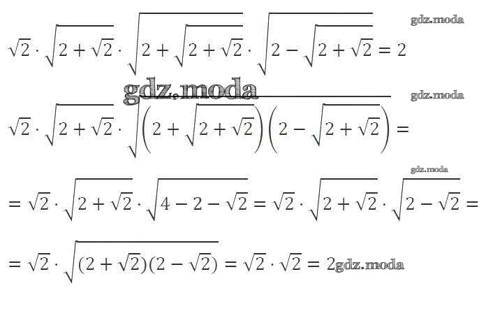
Решебник №4
глава 2 / §17 / 573

Решебник №5
глава 2 / §17 / 573

Решебник №6
глава 2 / §17 / 573

Все ГДЗ по Алгебре 8 класс Алгоритм успеха