ОТВЕТ на задание № 574 Учебник по Алгебре 8 класс Мерзляк Алгоритм успеха
Решебник №1
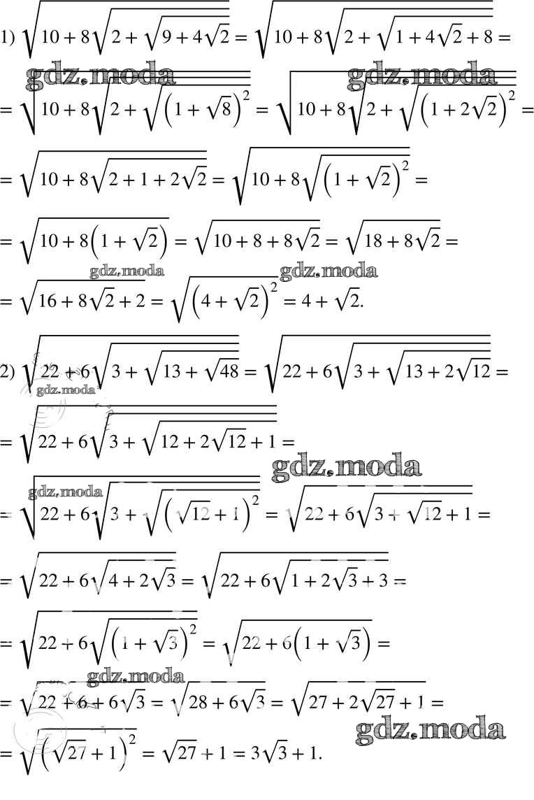
глава 2 / §17 / 574

Решебник №2
глава 2 / §17 / 574

Решебник №4
глава 2 / §17 / 574

Решебник №5
глава 2 / §17 / 574

Решебник №6
глава 2 / §17 / 574

Все ГДЗ по Алгебре 8 класс Алгоритм успеха